<--link media="screen" rel="stylesheet" type="text/css" href="http://www.bighelp.org/bhp/pub/css/fullwidth-fix.css" />

Child Details

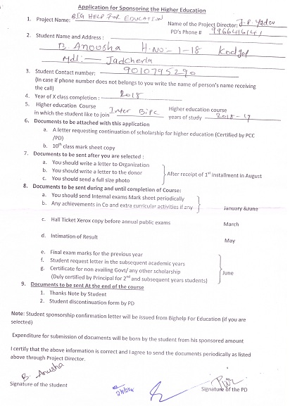
Anoosha Badka (ID:c1994)
 
Sponsor's Details:
Sponsor's Name Start Date End Date
Ramanjaneyulu Sangati 01-Jun-2017 31-May-2023
Child Address for communication:
Mailing Address School Name & Address
C/O Komuraiah Badka
H.No: 1-18, Ganesh Colony
Kodugal
Jadcherla Mandal
Mahaboobnagar Dist.
Telangana, India 509301
Srigaythri Junior College
Pedda Amberpet
Abdullapurmet Mandal
Rangareddy Dist.
Telangana, India 509301
Personal Details :
Date of Birth Student Status Sex Current Grade Grade On Start Dt. Medium
On File Financially very poor Female -N/A- 10 English
Guardian Name Relationship with Guardian Family Source of Income Family Annual Income (INR)
Komuraiah Badka Father Labour 30000
Hobbies Lifetime Goal
Reading books and Playing games To become a Teacher
Milestone
Anoosha Badka has passed 10th Class with 7.8 on 27-Apr-2018.
Milestone
Anoosha Badka has passed Inter 1st Year with 6 GPA on 18-Apr-2019. She has got GPA 6 out of 10
Bighelp thanks the donor  01-Jun-2017 
Bighelp thanks Ramanjaneyulu Sangati for kindly sponsoring the education of Anoosha Badka.
Sponsorship has been continued  01-Jun-2018 
The sponsorship for Anoosha Badka has been continued by Ramanjaneyulu Sangati
Sponsorship has been continued  01-Jun-2019 
The sponsorship for Anoosha Badka has been continued by Ramanjaneyulu Sangati
Sponsorship has been continued  01-Jun-2020 
The sponsorship for Anoosha Badka has been continued by Ramanjaneyulu Sangati
Sponsorship has been continued  01-Jun-2021 
The sponsorship for Anoosha Badka has been continued by Ramanjaneyulu Sangati
Sponsorship has been continued  01-Jun-2022 
The sponsorship for Anoosha Badka has been continued by Ramanjaneyulu Sangati
Sponsorship has been continued  01-Jun-2023 
The sponsorship for Anoosha Badka has been continued by Ramanjaneyulu Sangati